近日,彭桓武科教合作中心耿立升教授团队在超子弱辐射衰变研究中取得重要进展,相关成果以“Weak radiative hyperon decays in covariant baryon chiral perturbation theory”为题,于2022年12月2日发表在中国卓越计划领军期刊《Science Bulletin》上。

图1:文章信息
超子是包含至少一个奇异夸克的重子,其衰变主要包括三类:非轻衰变、半轻衰变以及辐射衰变。超子弱辐射衰变在夸克层次上体现为奇异夸克s转变为下夸克d,是少有的同时涉及自然界中除引力外其它三种相互作用(即强、弱和电磁相互作用)的独特物理过程(见图2)。这个看似简单的两体衰变,由于长久以来不对称参数的实验测量值与理论预言存在较大差异,一直是粒子物理研究的焦点问题之一,被称为超子弱辐射衰变疑难。历史上,这个疑难起始于实验测量的Sigma^+→pγ衰变过程中的不对称参数与理论预言存在显著差异。1964年,理论物理学家Yasuo Hara基于电荷共轭和空间反射联合变换(CP)守恒,电磁规范不变性以及U自旋对称性(奇异夸克和下夸克之间转换不变)的假设,提出著名的Hara定理,该定理预言:在精确的SU(3)味道对称性下,Sigma^+→pγ衰变的不对称参数为0。即使考虑SU(3)味道对称性轻微的破缺效应,这个不对称参数也应该很小。然而,实验测量得到的Sigma^+→pγ衰变的不对称参数是一个接近于-1(最大破缺)的值,与Hara定理的预言存在显著差别。

图2:超子弱辐射衰变Λ→nγ的费曼图,
其夸克层次对应s→dγ过程
2022年6月,北京正负电子对撞机上的BESIII合作组首次测量了Λ→nγ衰变的不对称参数,更新了其衰变分支比[Phys.Rev.Lett.129:212002,2022],发现已有的理论预言均不能解释新的实验数据,这进一步加剧了超子弱辐射衰变疑难问题。重子手征微扰理论是量子色动力学的低能有效理论,根据处理记阶规则破坏项的方式不同,存在三种形式,即重重子手征微扰理论(HB χPT),基于红外重整化方案的协变重子手征微扰理论(IR χPT)以及基于拓展的质量在壳重整化方案的协变重子手征微扰理论(EOMS χPT)。其中,EOMS χPT成功解决了低能非微扰强相互作用物理研究中长期存在的一系列疑难问题,如重子磁矩、质子康普顿散射以及π介子和质子散射等。此外,相比于HB χPT和IR χPT,EOMS χPT具有更快的收敛速度。2022年,耿立升教授团队基于EOMS χPT,研究核子-核子相互作用,得到了世界上首个相对论高精度手征核力[Phys.Rev.Lett. 128:142002,2022]。
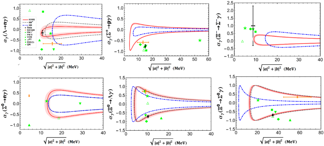
在本工作中,耿立升教授团队基于EOMS χPT,首次考虑了接触项树图贡献,通过拟合最新超子非轻衰变的实验数据确定理论的相关输入,系统研究了全部六个超子弱辐射(八重态)衰变道,结果显示协变手征微扰理论能够很好地描述BESIII最新测量的Λ→nγ衰变道,并且能够同时描述其它四个有观测结果的超子弱辐射衰变道 (见图3)。理论预言仅在Sigma^+→pγ衰变道与实验数据存在一定偏差。考虑到手征微扰理论的模型无关特性,该团队鼓励实验物理学家在未来精确测量Xi^-→Sigma^-γ衰变道,以检验当前关于Sigma^+→pγ衰变的实验数据是否可靠,从而进一步加深对超子弱辐射衰变疑难的理解。此外,这个工作也为基于超子稀有半轻衰变Bi→Bf l l的新物理研究提供了必要的标准模型输入。

图3:六个超子弱辐射(八重态)衰变道的不对称参数随宇称守恒振幅a的变化:横坐标可认为是衰变分之比,纵坐标为不对称参数。红色的线以及阴影区域为本工作的计算结果。黑色的误差条代表了最新的实验数据。剩余颜色的线和图形是其它理论模型、方法预测的结果
该论文获得了评审专家及BESIII合作组的高度评价,已于2022年12月在期刊《Science Bulletin》正式在线发表,史瑞祥博士为第一作者,耿立升教授为通讯作者。文章链接:http://doi.org/10.1016/j.scib.2022.10.026。此项研究得到了国家自然科学基金委、中国博士后科学基金会以及北京伊人99等的资助。
《Science Bulletin》是由中国科学院和国家自然科学基金委员会共同创办的自然科学综合类刊物, 位列JCR综合类期刊Q1区全球73种多学科综合类期刊第5位, 2021年影响因子20.577。